Dans une récente étude publiée sur medRxiv* serveur de prétirage, les chercheurs évaluent l’efficacité du vaccin (VE) d’une dose de rappel d’acide ribonucléique messager (ARNm) chez les résidents des maisons de soins infirmiers (NH) qui ont terminé la série primaire (deux doses) de vaccination par l’ARNm.
Étudier: Efficacité d’une dose de rappel du vaccin SARS-CoV-2 mRNA pour la prévention de l’infection, de l’hospitalisation ou du décès dans deux systèmes nationaux de maisons de soins infirmiers. Crédit d’image : Dusan Petkovic/Shutterstock.com
Sommaire
Fond
Les Centers for Disease Control and Prevention (CDC) des États-Unis ont recommandé une dose de rappel supplémentaire de vaccins COVID-19 pour les personnes vaccinées avec la série primaire après la résurgence de la variante delta du syndrome respiratoire aigu sévère coronavirus 2 (SARS-CoV-2) et immunité déclinante. À ce jour, il reste peu d’informations sur l’efficacité des doses de rappel pour atténuer l’infection ou le décès dans la population NH. De plus, les essais de vaccins n’incluaient pas les résidents de NH ; par conséquent, les données d’observation au niveau des patients ne sont pas largement disponibles.
Les NH présentent un environnement propice aux mesures de VE en raison de leur stabilité résidentielle, de la documentation systématique des vaccinations, y compris les rappels, et des tests fréquents pour le SRAS-CoV-2. Des preuves cliniques supplémentaires de l’efficacité des rappels soutiendraient les plans visant à augmenter la distribution des rappels pour cette population très vulnérable.

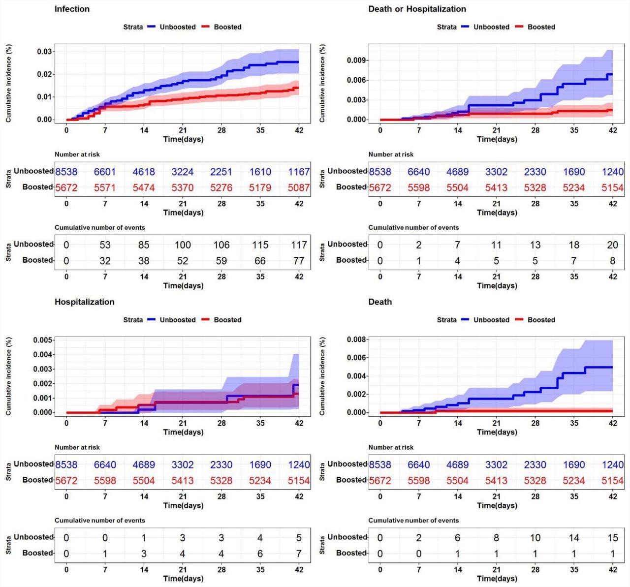
Incidence cumulée du SRAS-CoV-2 dans les maisons de soins infirmiers aux États-Unis (n = 200) par statut de rappel Description. Chaque graphique représente l’incidence cumulée pour un résultat différent du SARS-CoV-2 (+). (En haut à gauche – infection par le SRAS-CoV-2 (tout cas positif), en haut à droite – décès ou hospitalisation par le SRAS-CoV-2, en bas à gauche – hospitalisation associée au SRAS-CoV-2, en bas à droite – décès). Les régions ombrées représentent les intervalles de confiance à 95 %.
À propos de l’étude
Dans la présente étude, les chercheurs ont utilisé la méthode d’émulation d’essai cible imbriquée pour évaluer l’efficacité d’une dose de rappel du vaccin ARNm SARS-CoV-2 pour prévenir l’infection, l’hospitalisation ou la mort confirmée par le test SARS-CoV-2 dans deux grands multi-états Systèmes NH en parallèle du 22 septembre 2021 au 5 novembre 2021. L’estimateur de Kaplan-Meier a évalué l’EV au jour 42, avec à la fois non ajusté et pondéré avec la probabilité inverse de traitement.
Les résidents de NH qui ont terminé une série de deux doses du vaccin à ARNm et qui étaient éligibles pour une dose de rappel ont été inclus dans l’étude. Un total de 200 NH et 127 NH dans le système 1 et le système 2, respectivement, ont été inclus dans l’étude actuelle. De plus, il y avait 8 538 témoins et 5 672 résidents boostés, plus 4 100 témoins et 2 291 résidents boostés dans le système 1 et le système 2, respectivement.
Dans les deux systèmes, la plupart des résidents de NH ont reçu le vaccin Pfizer-BioNTech, avec 4 259 et 1 276 individus boostés dans le système 1 et le système 2, respectivement. Le temps de suivi contribué était de 557 817 jours dans le système 1 et de 229 281 dans le système 2.
Il y avait des différences significatives dans les populations NH. Le système 1, par exemple, comptait principalement des résidents âgés de plus de 74 ans), moins de résidents noirs et plus de femmes. Les deux populations de traitement dans les deux systèmes d’étude étaient similaires en ce qui concerne la plupart des caractéristiques observées avec des différences moyennes standardisées de <0,1.
Résultats de l’étude
Dans le système 1, la vaccination de rappel a réduit les infections par le SRAS-CoV-2 de 50,4 %, et un seul décès a été signalé après le rappel contre 15 décès chez les personnes non boostées. Dans le système 2, les résidents boostés avaient un risque réduit de 58,2% d’infections par le SRAS-CoV-2 et deux décès associés au SRAS-CoV-2, alors qu’il y avait trois décès dans la population non boostée.
Puisqu’il y avait moins d’événements de décès dans la population non boostée du système 2, il était difficile d’estimer l’intervalle de confiance (IC) ; par conséquent, VE n’a pas été signalé. De plus, la taille de l’échantillon du système 2 était d’environ la moitié de celle du système 1, ce qui rend les comparaisons directes de l’EV inappropriées.
L’EV combinée pour les paramètres de décès ou d’hospitalisation était de 82 % dans le système 1 et de 45,8 % dans le système 2. Bien que l’ampleur des événements ait différé, le risque d’infection par le SRAS-CoV-2 a été systématiquement réduit parmi la population boostée des deux systèmes.
Les résidents de NH différaient significativement sur le plan démographique, ce qui implique que les taux et les motifs d’hospitalisation aiguë varieraient en raison des différences dans la disponibilité des soins hospitaliers, la planification et la pratique des prestataires de soins de santé. Cependant, des résultats cohérents dans deux systèmes disparates donnent de la crédibilité à l’importance des doses de rappel pour les populations des maisons de soins infirmiers à travers les États-Unis en général.
La méthode d’étude actuelle a tiré parti de contrôles comparables qui différaient principalement par le moment de la vaccination, plutôt que par l’indication et le risque d’exposition aux souches en circulation. L’EV légèrement inférieure de 50 à 54 % de réduction de l’infection a été signalée chez les résidents boostés et non boostés et a inclus tous les jours post-rappel dans le calcul du risque d’exposition au cours desquels l’immunité dérivée du boost peut être incomplète.
De plus, l’EV pour prévenir la mortalité par le SRAS-CoV-2 chez les résidents du système 1 NH était significativement plus élevée et dépassait 90 % par rapport aux études précédentes menées en Israël. Ces différences pourraient être dues aux méthodes utilisées, à l’état de santé de la population testée, aux caractéristiques du virus ou à d’autres facteurs.
conclusion
L’étude actuelle a évalué le VE moyen d’un rappel de vaccin d’ARNm SARS-CoV-2 dans deux grandes populations multi-états de résidents de NH comparables aux critères d’éligibilité aux essais. Les résultats ont montré que les individus boostés dans les deux systèmes d’étude avaient un risque considérablement réduit d’infections par le SRAS-CoV-2.
Le risque de décès associé au SRAS-CoV-2 a également été réduit dans le système 1 ; cependant, une taille d’échantillon et un nombre d’événements plus petits ont rendu difficile la déduction d’événements de décès dans le système 2. Pour conclure, les chercheurs ont fortement soutenu la vaccination par dose de rappel pour l’ensemble de la population NH éligible.
*Avis important
medRxiv publie des rapports scientifiques préliminaires qui ne sont pas évalués par des pairs et, par conséquent, ne doivent pas être considérés comme concluants, guider la pratique clinique/les comportements liés à la santé, ou traités comme des informations établies.















